网站首页  安卓软件下载  安卓游戏下载  电脑软件下载  mac软件下载  翻译软件  电影下载  电视剧下载  教程攻略

请输入您要查询的电脑软件:

 

软件 相对标准偏差计算软件
分类 电脑软件-电脑工具-其它实用工具
语言 简体中文
大小 0.05 MB
版本 1.0官方正式版
下载
介绍

软件简介

      相对标准偏差计算软件最新版是一款功能相当出色的标准偏差计算器软件,相对标准偏差计算软件最新版拥有内置的强大的功能,其软件主要用于计算标准偏差、相对平均偏差和相对标准偏差值等,只需输入对应的数据就可得出结果了,简单好用。

相对标准偏差

      相对标准偏差(RSD,relative standard deviation)就是指:标准偏差与计算结果算术平均值的比值。

      相对标准偏差(RSD)=标准偏差(SD)/计算结果的算术平均值(X)*100%

      该值通常用来表示分析测试结果的精密度,

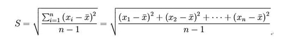
      其中标准偏差(SD)

      公式中

      S-标准偏差(单位与样本单位相同)

      n-试样总数或测量次数,一般n值不应少于5个

      i-物料中某成分的各次测量值,1~n;

相对标准偏差计算软件安装步骤

      在本站下载软件包,解压,运行“EXE.文件

      双击打开

      本软件为绿色软件,无需安装即可使用

截图
随便看

 

电脑软件下载频道提供pc端必备的网络软件、杀毒软件、聊天工具、媒体播放等各类电脑软件的下载,找免费的安全的绿色的电脑软件就来天天下载平台!

 

Copyright © 2002-2024 hpnw.net All Rights Reserved
更新时间:2025/12/19 16:52:58