网站首页  安卓软件下载  安卓游戏下载  电脑软件下载  mac软件下载  翻译软件  电影下载  电视剧下载  教程攻略

请输入您要查询的电脑软件:

 

软件 标准偏差计算软件
分类 电脑软件-电脑工具-开关定时
语言 简体中文
大小 0.01 MB
版本 1.2官方正式版
下载
介绍

软件简介

      标准偏差计算器最新版是一款非常安全可靠的标准偏差计算器软件,标准偏差计算器最新版内置强大的功能,其软件主要用于计算标准偏差、相对平均偏差和相对标准偏差值等,只需输入对应的数据就可得出结果了,非常的简单易用,上手容易。


标准偏差计算软件软件特色

      1、该软件的计算结果非常精准,可以显示6位小数

      2、支持6个计算的项目,每一个项目数据都是自动显示的

      3、可以同步计算所有的结果,输入数据以后就会马上显示

      4、您可以计算不同的数据,通过空白键分隔就可以了

标准偏差计算软件官方电脑端常见问题

      什么是相对标准偏差?

      相对标准偏差(RSD,relative standard deviation)就是指:标准偏差与计算结果算术平均值的比值。

      相对标准偏差(RSD)=标准偏差(SD)/计算结果的算术平均值(X)*100%

      该值通常用来表示分析测试结果的精密度,

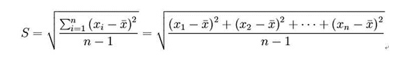
      其中标准偏差(SD)

      公式中

      S-标准偏差(单位与样本单位相同)

      n-试样总数或测量次数,一般n值不应少于5个

      i-物料中某成分的各次测量值,1~n;

截图
随便看

 

电脑软件下载频道提供pc端必备的网络软件、杀毒软件、聊天工具、媒体播放等各类电脑软件的下载,找免费的安全的绿色的电脑软件就来天天下载平台!

 

Copyright © 2002-2024 hpnw.net All Rights Reserved
更新时间:2025/11/16 14:17:21